Project

avrg: GFI1 WT vs 36n/n vs KD

Navigation
Downloads

ISMARA results avrg: GFI1 WT vs 36n/n vs KD

ISMARA - Integrated System for Motif Actitivity Response Analysis is a free online tool that recognizes most important transcription factors that are changing their activity in a set of samples.

Original results

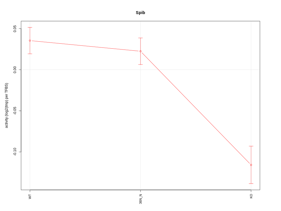
Sample Condition
SRR17857618_R1WT
SRR17857618_R2WT
SRR17857619_R136N_N
SRR17857619_R236N_N
SRR17857624KO

All motifs sorted by activity significance

Motif name Z-value Associated genes Profile Logo
Nrf1 9.42 small profile SeqLogo of Nrf1
Smad3 7.71 small profile SeqLogo of Smad3
Hdx 7.44 small profile SeqLogo of Hdx
Hcfc1_Six5_Smarcc2_Zfp143 7.30 small profile SeqLogo of Hcfc1_Six5_Smarcc2_Zfp143
Pou2f2_Pou3f1 7.07 small profile SeqLogo of Pou2f2_Pou3f1
Zfx_Zfp711 6.99 small profile SeqLogo of Zfx_Zfp711
Ybx1_Nfya_Nfyb_Nfyc_Cebpz 6.87 small profile SeqLogo of Ybx1_Nfya_Nfyb_Nfyc_Cebpz
Pou1f1 6.76 small profile SeqLogo of Pou1f1
Wrnip1_Mta3_Rcor1 6.64 small profile SeqLogo of Wrnip1_Mta3_Rcor1
Max_Mycn 6.37 small profile SeqLogo of Max_Mycn
Tbp 6.36 small profile SeqLogo of Tbp
Gtf2i_Gtf2f1 5.92 small profile SeqLogo of Gtf2i_Gtf2f1
Elf1_Elf2_Etv2_Elf4 5.59 small profile SeqLogo of Elf1_Elf2_Etv2_Elf4
Etv1_Etv5_Gabpa 5.34 small profile SeqLogo of Etv1_Etv5_Gabpa
Nfatc1 5.23 small profile SeqLogo of Nfatc1
Bptf 5.06 small profile SeqLogo of Bptf
Creb1 4.73 small profile SeqLogo of Creb1
Taf1 4.49 small profile SeqLogo of Taf1
Irf3 4.43 small profile SeqLogo of Irf3
Epas1_Bcl3 4.14 small profile SeqLogo of Epas1_Bcl3
Pou2f1 4.11 small profile SeqLogo of Pou2f1
Mecp2 4.09 small profile SeqLogo of Mecp2
Esrrb_Esrra 3.98 small profile SeqLogo of Esrrb_Esrra
Ebf1 3.90 small profile SeqLogo of Ebf1
Esr2 3.87 small profile SeqLogo of Esr2
Id4 3.74 small profile SeqLogo of Id4
Sox18_Sox12 3.69 small profile SeqLogo of Sox18_Sox12
Ahr 3.62 small profile SeqLogo of Ahr
Yy1_Yy2 3.61 small profile SeqLogo of Yy1_Yy2
Foxj3_Tbl1xr1 3.58 small profile SeqLogo of Foxj3_Tbl1xr1
Nr5a2 3.36 small profile SeqLogo of Nr5a2
Myb 3.36 small profile SeqLogo of Myb
Spib 3.30 small profile SeqLogo of Spib
Nfe2_Bach1_Mafk 3.22 small profile SeqLogo of Nfe2_Bach1_Mafk
Klf6_Patz1 3.20 small profile SeqLogo of Klf6_Patz1
Smad4 3.17 small profile SeqLogo of Smad4
E2f7 3.16 small profile SeqLogo of E2f7
Nr1i2 3.15 small profile SeqLogo of Nr1i2
Hsfy2 3.08 small profile SeqLogo of Hsfy2
Mef2d_Mef2a 3.05 small profile SeqLogo of Mef2d_Mef2a
Pitx2_Otx2 2.98 small profile SeqLogo of Pitx2_Otx2
Nkx6-1_Evx1_Hesx1 2.94 small profile SeqLogo of Nkx6-1_Evx1_Hesx1
Hey1_Myc_Mxi1 2.92 small profile SeqLogo of Hey1_Myc_Mxi1
E2f1 2.84 small profile SeqLogo of E2f1
Hsf4 2.81 small profile SeqLogo of Hsf4
Etv3_Erf_Fev_Elk4_Elk1_Elk3 2.78 small profile SeqLogo of Etv3_Erf_Fev_Elk4_Elk1_Elk3
Nfix 2.73 small profile SeqLogo of Nfix
Irx6_Irx2_Irx3 2.70 small profile SeqLogo of Irx6_Irx2_Irx3
Zbtb33_Chd2 2.66 small profile SeqLogo of Zbtb33_Chd2
E2f8 2.61 small profile SeqLogo of E2f8
Rfx5 2.61 small profile SeqLogo of Rfx5
GGAAUGU 2.56 small profile SeqLogo of GGAAUGU
Hoxa13 2.56 small profile SeqLogo of Hoxa13
Hic1 2.53 small profile SeqLogo of Hic1
Homez 2.50 small profile SeqLogo of Homez
Atf3 2.47 small profile SeqLogo of Atf3
Stat2 2.47 small profile SeqLogo of Stat2
Mybl2 2.45 small profile SeqLogo of Mybl2
Myf6 2.43 small profile SeqLogo of Myf6
Klf12_Klf14_Sp4 2.31 small profile SeqLogo of Klf12_Klf14_Sp4
Olig2_Olig3 2.28 small profile SeqLogo of Olig2_Olig3
Arnt 2.27 small profile SeqLogo of Arnt
Nfatc3 2.25 small profile SeqLogo of Nfatc3
Spdef 2.24 small profile SeqLogo of Spdef
Brca1 2.22 small profile SeqLogo of Brca1
AGCAGCA 2.21 small profile SeqLogo of AGCAGCA
Rarg 2.17 small profile SeqLogo of Rarg
Rad21_Smc3 2.16 small profile SeqLogo of Rad21_Smc3
Hoxa2 2.15 small profile SeqLogo of Hoxa2
AAAGUGC 2.13 small profile SeqLogo of AAAGUGC
Sox2 2.13 small profile SeqLogo of Sox2
Hif1a 2.12 small profile SeqLogo of Hif1a
Gfi1_Gfi1b 2.11 small profile SeqLogo of Gfi1_Gfi1b
GUAAACA 2.10 small profile SeqLogo of GUAAACA
Tfdp1_Wt1_Egr2 2.08 small profile SeqLogo of Tfdp1_Wt1_Egr2
Hinfp 2.04 small profile SeqLogo of Hinfp
Nkx2-3 2.03 small profile SeqLogo of Nkx2-3
Onecut2_Onecut3 2.02 small profile SeqLogo of Onecut2_Onecut3
Klf1 2.02 small profile SeqLogo of Klf1
Hmga2 2.00 small profile SeqLogo of Hmga2
Dlx5_Dlx4 2.00 small profile SeqLogo of Dlx5_Dlx4
Ddit3 1.98 small profile SeqLogo of Ddit3
Nfe2l2 1.96 small profile SeqLogo of Nfe2l2
Sox21 1.96 small profile SeqLogo of Sox21
Rest 1.92 small profile SeqLogo of Rest
Hmx1 1.89 small profile SeqLogo of Hmx1
Bcl6 1.88 small profile SeqLogo of Bcl6
Hmga1 1.88 small profile SeqLogo of Hmga1
Maz_Zfp281 1.86 small profile SeqLogo of Maz_Zfp281
Stat1 1.83 small profile SeqLogo of Stat1
Lhx2_Hoxc5 1.83 small profile SeqLogo of Lhx2_Hoxc5
Nr2c2 1.83 small profile SeqLogo of Nr2c2
Meis2 1.82 small profile SeqLogo of Meis2
Zfp384 1.82 small profile SeqLogo of Zfp384
Esrrg 1.80 small profile SeqLogo of Esrrg
E2f3 1.78 small profile SeqLogo of E2f3
Hsf1 1.77 small profile SeqLogo of Hsf1
Runx3 1.76 small profile SeqLogo of Runx3
Mafb 1.76 small profile SeqLogo of Mafb
E2f2_E2f5 1.75 small profile SeqLogo of E2f2_E2f5
Xbp1_Creb3l1 1.75 small profile SeqLogo of Xbp1_Creb3l1
Tcf4_Mesp1 1.74 small profile SeqLogo of Tcf4_Mesp1
Cebpb 1.73 small profile SeqLogo of Cebpb
Emx1_Emx2 1.70 small profile SeqLogo of Emx1_Emx2
UGCAUAG 1.69 small profile SeqLogo of UGCAUAG
Atf6 1.69 small profile SeqLogo of Atf6
Smarcc1_Fosl1 1.69 small profile SeqLogo of Smarcc1_Fosl1
Isl2 1.67 small profile SeqLogo of Isl2
Chd1_Pml 1.66 small profile SeqLogo of Chd1_Pml
Nr2e3 1.65 small profile SeqLogo of Nr2e3
Neurog2 1.64 small profile SeqLogo of Neurog2
Klf4_Sp3 1.64 small profile SeqLogo of Klf4_Sp3
Erg 1.64 small profile SeqLogo of Erg
Hoxb3 1.64 small profile SeqLogo of Hoxb3
Prrx1_Isx_Prrxl1 1.63 small profile SeqLogo of Prrx1_Isx_Prrxl1
Tal1 1.63 small profile SeqLogo of Tal1
Meox1 1.62 small profile SeqLogo of Meox1
Etv6 1.62 small profile SeqLogo of Etv6
Plagl1 1.60 small profile SeqLogo of Plagl1
Tbx19 1.58 small profile SeqLogo of Tbx19
Gbx1_Nobox_Alx3 1.58 small profile SeqLogo of Gbx1_Nobox_Alx3
Cebpe 1.58 small profile SeqLogo of Cebpe
Foxd2 1.57 small profile SeqLogo of Foxd2
Pax5 1.55 small profile SeqLogo of Pax5
Atf2_Ikzf1 1.55 small profile SeqLogo of Atf2_Ikzf1
Hoxd11_Cdx1_Hoxc11 1.54 small profile SeqLogo of Hoxd11_Cdx1_Hoxc11
Pou3f2 1.54 small profile SeqLogo of Pou3f2
CUUUGGU 1.53 small profile SeqLogo of CUUUGGU
Rfx2_Rfx7 1.53 small profile SeqLogo of Rfx2_Rfx7
Nhlh1 1.52 small profile SeqLogo of Nhlh1
AAGUGCU 1.52 small profile SeqLogo of AAGUGCU
Atf5 1.50 small profile SeqLogo of Atf5
Gcm2 1.50 small profile SeqLogo of Gcm2
Zbtb4 1.49 small profile SeqLogo of Zbtb4
Irf2_Irf1_Irf8_Irf9_Irf7 1.48 small profile SeqLogo of Irf2_Irf1_Irf8_Irf9_Irf7
Mbd2 1.47 small profile SeqLogo of Mbd2
Tfap2c 1.45 small profile SeqLogo of Tfap2c
Plag1 1.44 small profile SeqLogo of Plag1
Gli3_Zic1 1.43 small profile SeqLogo of Gli3_Zic1
AGCACCA 1.43 small profile SeqLogo of AGCACCA
Maff 1.43 small profile SeqLogo of Maff
Hoxb2_Dlx2 1.42 small profile SeqLogo of Hoxb2_Dlx2
Jun 1.42 small profile SeqLogo of Jun
Pou2f3 1.41 small profile SeqLogo of Pou2f3
Sox3_Sox10 1.41 small profile SeqLogo of Sox3_Sox10
Tfap2e 1.41 small profile SeqLogo of Tfap2e
Ar 1.39 small profile SeqLogo of Ar
Fos 1.38 small profile SeqLogo of Fos
AUUGCAC 1.37 small profile SeqLogo of AUUGCAC
Junb_Jund 1.37 small profile SeqLogo of Junb_Jund
Insm1 1.37 small profile SeqLogo of Insm1
Irf4 1.36 small profile SeqLogo of Irf4
GCUGGUG 1.35 small profile SeqLogo of GCUGGUG
Pou5f1 1.35 small profile SeqLogo of Pou5f1
UCACAGU 1.35 small profile SeqLogo of UCACAGU
Hey2 1.34 small profile SeqLogo of Hey2
Hic2 1.34 small profile SeqLogo of Hic2
Hoxa10 1.34 small profile SeqLogo of Hoxa10
Sin3a 1.33 small profile SeqLogo of Sin3a
Mybl1 1.33 small profile SeqLogo of Mybl1
Vdr 1.33 small profile SeqLogo of Vdr
Etv4 1.32 small profile SeqLogo of Etv4
Tlx2 1.32 small profile SeqLogo of Tlx2
Sp100 1.32 small profile SeqLogo of Sp100
Hoxa1 1.31 small profile SeqLogo of Hoxa1
Rfx3_Rfx1_Rfx4 1.31 small profile SeqLogo of Rfx3_Rfx1_Rfx4
Stat5a 1.30 small profile SeqLogo of Stat5a
Creb3 1.30 small profile SeqLogo of Creb3
Sox15 1.29 small profile SeqLogo of Sox15
Tgif1_Meis3 1.28 small profile SeqLogo of Tgif1_Meis3
Gli1 1.28 small profile SeqLogo of Gli1
Pgr_Nr3c1 1.28 small profile SeqLogo of Pgr_Nr3c1
Tfap2a 1.28 small profile SeqLogo of Tfap2a
ACAUUCA 1.26 small profile SeqLogo of ACAUUCA
Tead3_Tead4 1.25 small profile SeqLogo of Tead3_Tead4
Pou6f2_Pou4f2 1.25 small profile SeqLogo of Pou6f2_Pou4f2
Gsx1_Alx1_Mixl1_Lbx2 1.25 small profile SeqLogo of Gsx1_Alx1_Mixl1_Lbx2
Tbx3 1.25 small profile SeqLogo of Tbx3
Hivep1 1.25 small profile SeqLogo of Hivep1
Klf16_Sp8 1.24 small profile SeqLogo of Klf16_Sp8
Nfkb2 1.24 small profile SeqLogo of Nfkb2
Neurod1 1.24 small profile SeqLogo of Neurod1
Obox1 1.23 small profile SeqLogo of Obox1
Alx4 1.23 small profile SeqLogo of Alx4
CACAGUG 1.22 small profile SeqLogo of CACAGUG
Sox6_Sox9 1.22 small profile SeqLogo of Sox6_Sox9
Nkx2-5 1.22 small profile SeqLogo of Nkx2-5
Cpeb1 1.22 small profile SeqLogo of Cpeb1
Srf 1.22 small profile SeqLogo of Srf
Hoxd12 1.22 small profile SeqLogo of Hoxd12
Nfil3_Tef 1.20 small profile SeqLogo of Nfil3_Tef
AGUGCAA 1.18 small profile SeqLogo of AGUGCAA
Zfp652 1.18 small profile SeqLogo of Zfp652
Zbtb12 1.18 small profile SeqLogo of Zbtb12
UAGUGUU 1.17 small profile SeqLogo of UAGUGUU
UGUGCUU 1.17 small profile SeqLogo of UGUGCUU
Zbtb6 1.17 small profile SeqLogo of Zbtb6
Spi1 1.16 small profile SeqLogo of Spi1
Tfeb_Usf1_Srebf1_Usf2_Bhlhe41_Srebf2 1.16 small profile SeqLogo of Tfeb_Usf1_Srebf1_Usf2_Bhlhe41_Srebf2
Nkx2-1 1.16 small profile SeqLogo of Nkx2-1
Zfp148 1.15 small profile SeqLogo of Zfp148
Pax2 1.14 small profile SeqLogo of Pax2
Hoxc10 1.14 small profile SeqLogo of Hoxc10
Zbtb14 1.13 small profile SeqLogo of Zbtb14
Hsf2 1.12 small profile SeqLogo of Hsf2
Zbtb16 1.11 small profile SeqLogo of Zbtb16
Foxa3 1.11 small profile SeqLogo of Foxa3
AAGGCAC 1.11 small profile SeqLogo of AAGGCAC
Myog_Tcf12 1.10 small profile SeqLogo of Myog_Tcf12
Nr3c2 1.10 small profile SeqLogo of Nr3c2
Gata3 1.10 small profile SeqLogo of Gata3
Dlx1 1.08 small profile SeqLogo of Dlx1
Rhox4e_Rhox6_Vax2 1.08 small profile SeqLogo of Rhox4e_Rhox6_Vax2
En1 1.08 small profile SeqLogo of En1
Foxl1 1.08 small profile SeqLogo of Foxl1
CCCUGAG 1.08 small profile SeqLogo of CCCUGAG
Trp53 1.08 small profile SeqLogo of Trp53
Elf3 1.08 small profile SeqLogo of Elf3
Klf8 1.07 small profile SeqLogo of Klf8
GAGGUAG 1.07 small profile SeqLogo of GAGGUAG
Tfap4 1.07 small profile SeqLogo of Tfap4
Isl1 1.07 small profile SeqLogo of Isl1
Gata2_Gata1 1.05 small profile SeqLogo of Gata2_Gata1
Scrt1 1.05 small profile SeqLogo of Scrt1
Pax6 1.05 small profile SeqLogo of Pax6
Elf5 1.05 small profile SeqLogo of Elf5
Cebpa_Cebpg 1.05 small profile SeqLogo of Cebpa_Cebpg
Ubp1 1.04 small profile SeqLogo of Ubp1
Tcf7_Tcf7l2 1.04 small profile SeqLogo of Tcf7_Tcf7l2
Vsx1_Uncx_Prrx2_Shox2_Noto 1.04 small profile SeqLogo of Vsx1_Uncx_Prrx2_Shox2_Noto
Hoxb5 1.03 small profile SeqLogo of Hoxb5
Atf1_Creb5 1.03 small profile SeqLogo of Atf1_Creb5
Hlf 1.02 small profile SeqLogo of Hlf
Nkx1-1_Nkx1-2 1.02 small profile SeqLogo of Nkx1-1_Nkx1-2
Hmbox1 1.02 small profile SeqLogo of Hmbox1
Fli1 1.02 small profile SeqLogo of Fli1
Arntl_Tfe3_Mlx_Mitf_Mlxipl_Tfec 1.01 small profile SeqLogo of Arntl_Tfe3_Mlx_Mitf_Mlxipl_Tfec
Tead1 1.00 small profile SeqLogo of Tead1
Zfp282 0.99 small profile SeqLogo of Zfp282
Sox1 0.99 small profile SeqLogo of Sox1
Creb3l2 0.98 small profile SeqLogo of Creb3l2
Zic4 0.98 small profile SeqLogo of Zic4
Hbp1 0.98 small profile SeqLogo of Hbp1
Ets1 0.98 small profile SeqLogo of Ets1
Barhl2 0.97 small profile SeqLogo of Barhl2
Nfia 0.97 small profile SeqLogo of Nfia
Lef1 0.96 small profile SeqLogo of Lef1
En2 0.96 small profile SeqLogo of En2
Lhx5_Lmx1b_Lhx1 0.95 small profile SeqLogo of Lhx5_Lmx1b_Lhx1
Zfp524 0.95 small profile SeqLogo of Zfp524
Hoxd9 0.94 small profile SeqLogo of Hoxd9
Zfp128 0.94 small profile SeqLogo of Zfp128
Ppara 0.94 small profile SeqLogo of Ppara
Tfcp2 0.94 small profile SeqLogo of Tfcp2
Hoxb7 0.93 small profile SeqLogo of Hoxb7
Trp73 0.93 small profile SeqLogo of Trp73
Cebpd 0.93 small profile SeqLogo of Cebpd
Hnf1a 0.93 small profile SeqLogo of Hnf1a
Snai1_Zeb1_Snai2 0.93 small profile SeqLogo of Snai1_Zeb1_Snai2
Tcf3 0.93 small profile SeqLogo of Tcf3
Evx2 0.93 small profile SeqLogo of Evx2
Nkx3-1 0.92 small profile SeqLogo of Nkx3-1
Pax8 0.92 small profile SeqLogo of Pax8
Glis2 0.92 small profile SeqLogo of Glis2
Foxp2_Foxp3 0.92 small profile SeqLogo of Foxp2_Foxp3
Lhx4 0.92 small profile SeqLogo of Lhx4
Lhx8 0.91 small profile SeqLogo of Lhx8
Figla 0.91 small profile SeqLogo of Figla
Pax4 0.91 small profile SeqLogo of Pax4
Phox2a 0.91 small profile SeqLogo of Phox2a
Hnf1b 0.91 small profile SeqLogo of Hnf1b
Foxo4 0.91 small profile SeqLogo of Foxo4
GAUUGUC 0.90 small profile SeqLogo of GAUUGUC
Zfp263 0.89 small profile SeqLogo of Zfp263
Prox1 0.89 small profile SeqLogo of Prox1
Tbx15 0.88 small profile SeqLogo of Tbx15
Meis1 0.88 small profile SeqLogo of Meis1
Gsc2_Dmbx1 0.88 small profile SeqLogo of Gsc2_Dmbx1
Batf 0.86 small profile SeqLogo of Batf
Scrt2 0.86 small profile SeqLogo of Scrt2
Tbx5 0.85 small profile SeqLogo of Tbx5
Fosl2_Bach2 0.84 small profile SeqLogo of Fosl2_Bach2
Msx2_Hoxd4 0.84 small profile SeqLogo of Msx2_Hoxd4
ACAGUAU 0.84 small profile SeqLogo of ACAGUAU
Sox30 0.83 small profile SeqLogo of Sox30
Hnf4a 0.83 small profile SeqLogo of Hnf4a
Zfp110 0.83 small profile SeqLogo of Zfp110
Irx5 0.83 small profile SeqLogo of Irx5
AAUACUG 0.82 small profile SeqLogo of AAUACUG
Klf13 0.81 small profile SeqLogo of Klf13
Cdx2 0.81 small profile SeqLogo of Cdx2
Smad1 0.81 small profile SeqLogo of Smad1
Gmeb2 0.81 small profile SeqLogo of Gmeb2
Cdc5l 0.80 small profile SeqLogo of Cdc5l
Ets2 0.79 small profile SeqLogo of Ets2
Zfp219_Zfp740 0.79 small profile SeqLogo of Zfp219_Zfp740
Bcl6b 0.79 small profile SeqLogo of Bcl6b
Tfap2d 0.79 small profile SeqLogo of Tfap2d
Zbtb18 0.79 small profile SeqLogo of Zbtb18
Zbtb3 0.78 small profile SeqLogo of Zbtb3
Dbp 0.78 small profile SeqLogo of Dbp
Arid5b 0.77 small profile SeqLogo of Arid5b
Sox8 0.77 small profile SeqLogo of Sox8
Foxg1 0.77 small profile SeqLogo of Foxg1
Atoh1_Bhlhe23 0.76 small profile SeqLogo of Atoh1_Bhlhe23
Nr6a1 0.76 small profile SeqLogo of Nr6a1
Obox3 0.76 small profile SeqLogo of Obox3
UCAAGUA 0.76 small profile SeqLogo of UCAAGUA
GUAGUGU 0.75 small profile SeqLogo of GUAGUGU
Hoxb1 0.75 small profile SeqLogo of Hoxb1
Nr0b1 0.75 small profile SeqLogo of Nr0b1
Egr1 0.74 small profile SeqLogo of Egr1
Hmx3 0.74 small profile SeqLogo of Hmx3
Bsx 0.73 small profile SeqLogo of Bsx
Trp63 0.73 small profile SeqLogo of Trp63
Zfhx3 0.72 small profile SeqLogo of Zfhx3
Prdm1 0.72 small profile SeqLogo of Prdm1
Vsx2_Dlx3 0.72 small profile SeqLogo of Vsx2_Dlx3
Nfatc4 0.71 small profile SeqLogo of Nfatc4
Obox6_Obox5 0.71 small profile SeqLogo of Obox6_Obox5
UUGGCAA 0.71 small profile SeqLogo of UUGGCAA
Rora 0.71 small profile SeqLogo of Rora
Zscan4c 0.70 small profile SeqLogo of Zscan4c
Nkx6-3_Dbx2_Barx2 0.70 small profile SeqLogo of Nkx6-3_Dbx2_Barx2
Nfic_Nfib 0.70 small profile SeqLogo of Nfic_Nfib
Tbx1_Eomes 0.70 small profile SeqLogo of Tbx1_Eomes
Tcf21_Msc 0.69 small profile SeqLogo of Tcf21_Msc
Ikzf2 0.69 small profile SeqLogo of Ikzf2
Nr2f1_Nr4a1 0.69 small profile SeqLogo of Nr2f1_Nr4a1
AACACUG 0.69 small profile SeqLogo of AACACUG
Mnx1_Lhx6_Lmx1a 0.69 small profile SeqLogo of Mnx1_Lhx6_Lmx1a
Hnf4g 0.69 small profile SeqLogo of Hnf4g
Zkscan3 0.69 small profile SeqLogo of Zkscan3
Klf15 0.68 small profile SeqLogo of Klf15
Zic2 0.68 small profile SeqLogo of Zic2
Pitx3 0.68 small profile SeqLogo of Pitx3
E2f4 0.67 small profile SeqLogo of E2f4
Foxo3 0.67 small profile SeqLogo of Foxo3
Prdm4 0.67 small profile SeqLogo of Prdm4
Foxp1_Foxj2 0.67 small profile SeqLogo of Foxp1_Foxj2
Esr1 0.67 small profile SeqLogo of Esr1
Pitx1 0.67 small profile SeqLogo of Pitx1
Six6 0.66 small profile SeqLogo of Six6
E2f6 0.66 small profile SeqLogo of E2f6
AUGGCUU 0.66 small profile SeqLogo of AUGGCUU
AAGGUGC 0.66 small profile SeqLogo of AAGGUGC
Tfcp2l1 0.66 small profile SeqLogo of Tfcp2l1
Fubp1 0.66 small profile SeqLogo of Fubp1
Nkx2-4 0.66 small profile SeqLogo of Nkx2-4
Ptf1a 0.65 small profile SeqLogo of Ptf1a
Mtf1 0.65 small profile SeqLogo of Mtf1
CCAGUGU 0.64 small profile SeqLogo of CCAGUGU
Rhox11 0.64 small profile SeqLogo of Rhox11
Nr2f2 0.64 small profile SeqLogo of Nr2f2
Aire 0.64 small profile SeqLogo of Aire
Pax1_Pax9 0.64 small profile SeqLogo of Pax1_Pax9
Sox17 0.63 small profile SeqLogo of Sox17
Ppard 0.63 small profile SeqLogo of Ppard
Hoxa5 0.63 small profile SeqLogo of Hoxa5
Sox4 0.62 small profile SeqLogo of Sox4
Gbx2 0.62 small profile SeqLogo of Gbx2
AUGGCAC 0.62 small profile SeqLogo of AUGGCAC
GCUACAU 0.62 small profile SeqLogo of GCUACAU
Pou3f4 0.62 small profile SeqLogo of Pou3f4
Hand1 0.62 small profile SeqLogo of Hand1
Rara 0.62 small profile SeqLogo of Rara
Zfp784 0.62 small profile SeqLogo of Zfp784
Mef2c 0.61 small profile SeqLogo of Mef2c
Maf_Nrl 0.61 small profile SeqLogo of Maf_Nrl
Nr4a3 0.61 small profile SeqLogo of Nr4a3
Rxrb 0.61 small profile SeqLogo of Rxrb
Meox2 0.60 small profile SeqLogo of Meox2
Foxf1 0.60 small profile SeqLogo of Foxf1
Gata5 0.60 small profile SeqLogo of Gata5
Otx1 0.59 small profile SeqLogo of Otx1
Foxa2_Foxa1 0.59 small profile SeqLogo of Foxa2_Foxa1
Pou4f1_Pou6f1 0.59 small profile SeqLogo of Pou4f1_Pou6f1
Gata4 0.59 small profile SeqLogo of Gata4
Zbtb7b 0.59 small profile SeqLogo of Zbtb7b
Ep300 0.58 small profile SeqLogo of Ep300
Zkscan1 0.58 small profile SeqLogo of Zkscan1
Tlx1 0.58 small profile SeqLogo of Tlx1
Stat6 0.57 small profile SeqLogo of Stat6
Hes1 0.57 small profile SeqLogo of Hes1
Prop1 0.57 small profile SeqLogo of Prop1
Tgif2_Tgif2lx1_Tgif2lx2 0.57 small profile SeqLogo of Tgif2_Tgif2lx1_Tgif2lx2
CAGUGCA 0.57 small profile SeqLogo of CAGUGCA
Nr1i3 0.57 small profile SeqLogo of Nr1i3
UAAGGCA 0.57 small profile SeqLogo of UAAGGCA
GAGAUGA 0.57 small profile SeqLogo of GAGAUGA
Foxi1_Foxo1 0.56 small profile SeqLogo of Foxi1_Foxo1
Smad2 0.56 small profile SeqLogo of Smad2
Hoxa11_Hoxc12 0.56 small profile SeqLogo of Hoxa11_Hoxc12
Crem_Jdp2 0.55 small profile SeqLogo of Crem_Jdp2
Irx4 0.55 small profile SeqLogo of Irx4
Zbtb7a 0.55 small profile SeqLogo of Zbtb7a
Msx3 0.55 small profile SeqLogo of Msx3
ACAGUAC 0.55 small profile SeqLogo of ACAGUAC
Foxb1 0.55 small profile SeqLogo of Foxb1
Mafa 0.55 small profile SeqLogo of Mafa
Nfatc2 0.55 small profile SeqLogo of Nfatc2
Arid5a 0.54 small profile SeqLogo of Arid5a
GUCAGUU 0.54 small profile SeqLogo of GUCAGUU
UAAUGCU 0.54 small profile SeqLogo of UAAUGCU
Ascl2 0.53 small profile SeqLogo of Ascl2
Sp1 0.53 small profile SeqLogo of Sp1
Atf7_E4f1 0.53 small profile SeqLogo of Atf7_E4f1
Tbr1 0.53 small profile SeqLogo of Tbr1
Foxc2 0.53 small profile SeqLogo of Foxc2
Hoxd1 0.53 small profile SeqLogo of Hoxd1
T 0.53 small profile SeqLogo of T
Ebf3 0.53 small profile SeqLogo of Ebf3
Foxd3 0.53 small profile SeqLogo of Foxd3
UCCAGUU 0.52 small profile SeqLogo of UCCAGUU
Nkx6-2 0.52 small profile SeqLogo of Nkx6-2
Arid3a 0.52 small profile SeqLogo of Arid3a
Myod1 0.52 small profile SeqLogo of Myod1
UGGCACU 0.52 small profile SeqLogo of UGGCACU
Sox14 0.51 small profile SeqLogo of Sox14
Tfap2b 0.51 small profile SeqLogo of Tfap2b
Mnt 0.51 small profile SeqLogo of Mnt
Sox5_Sry 0.51 small profile SeqLogo of Sox5_Sry
Pax3 0.50 small profile SeqLogo of Pax3
Egr3 0.50 small profile SeqLogo of Egr3
Glis3 0.50 small profile SeqLogo of Glis3
CAGUAGU 0.50 small profile SeqLogo of CAGUAGU
Dmc1 0.50 small profile SeqLogo of Dmc1
Hes5_Hes7 0.50 small profile SeqLogo of Hes5_Hes7
Fosb 0.50 small profile SeqLogo of Fosb
AUAAAGU 0.49 small profile SeqLogo of AUAAAGU
Klf3 0.49 small profile SeqLogo of Klf3
Gata6 0.49 small profile SeqLogo of Gata6
Mzf1 0.48 small profile SeqLogo of Mzf1
UGGUCCC 0.48 small profile SeqLogo of UGGUCCC
Runx2_Bcl11a 0.47 small profile SeqLogo of Runx2_Bcl11a
Thra 0.47 small profile SeqLogo of Thra
Ctcfl_Ctcf 0.47 small profile SeqLogo of Ctcfl_Ctcf
GCAGCAU 0.47 small profile SeqLogo of GCAGCAU
CAGUCCA 0.47 small profile SeqLogo of CAGUCCA
Pou3f3 0.46 small profile SeqLogo of Pou3f3
Spic 0.46 small profile SeqLogo of Spic
Foxf2 0.46 small profile SeqLogo of Foxf2
Neurod2_Bhlha15_Bhlhe22_Olig1 0.46 small profile SeqLogo of Neurod2_Bhlha15_Bhlhe22_Olig1
Cux1 0.45 small profile SeqLogo of Cux1
Hoxa7_Hoxc8 0.45 small profile SeqLogo of Hoxa7_Hoxc8
Bhlhe40 0.45 small profile SeqLogo of Bhlhe40
Egr4 0.45 small profile SeqLogo of Egr4
Onecut1_Cux2 0.44 small profile SeqLogo of Onecut1_Cux2
Runx1 0.44 small profile SeqLogo of Runx1
Rorc_Nr1d1 0.44 small profile SeqLogo of Rorc_Nr1d1
Rbpj 0.43 small profile SeqLogo of Rbpj
Mef2b 0.43 small profile SeqLogo of Mef2b
UUGUUCG 0.43 small profile SeqLogo of UUGUUCG
Foxn1 0.43 small profile SeqLogo of Foxn1
Tbx4 0.43 small profile SeqLogo of Tbx4
ACCCUGU 0.42 small profile SeqLogo of ACCCUGU
CUACAGU 0.42 small profile SeqLogo of CUACAGU
Rela_Rel_Nfkb1 0.42 small profile SeqLogo of Rela_Rel_Nfkb1
Nr4a2 0.41 small profile SeqLogo of Nr4a2
Batf3 0.41 small profile SeqLogo of Batf3
AGCUGCC 0.41 small profile SeqLogo of AGCUGCC
Atf4 0.41 small profile SeqLogo of Atf4
Zfp410 0.41 small profile SeqLogo of Zfp410
Hoxc13_Hoxd13 0.41 small profile SeqLogo of Hoxc13_Hoxd13
Foxc1 0.41 small profile SeqLogo of Foxc1
Hoxc6 0.40 small profile SeqLogo of Hoxc6
AGGUAGU 0.40 small profile SeqLogo of AGGUAGU
UGCAGUC 0.40 small profile SeqLogo of UGCAGUC
GGCUCAG 0.40 small profile SeqLogo of GGCUCAG
AUGUGCC 0.40 small profile SeqLogo of AUGUGCC
UCCCUUU 0.40 small profile SeqLogo of UCCCUUU
Hmx2 0.40 small profile SeqLogo of Hmx2
Foxq1 0.39 small profile SeqLogo of Foxq1
Foxm1 0.39 small profile SeqLogo of Foxm1
Hoxb8_Pdx1 0.38 small profile SeqLogo of Hoxb8_Pdx1
ACCACAG 0.38 small profile SeqLogo of ACCACAG
Cxxc1 0.38 small profile SeqLogo of Cxxc1
Mga 0.37 small profile SeqLogo of Mga
Nkx2-9 0.37 small profile SeqLogo of Nkx2-9
GUGCAAA 0.36 small profile SeqLogo of GUGCAAA
Irf5_Irf6 0.36 small profile SeqLogo of Irf5_Irf6
Nanog 0.36 small profile SeqLogo of Nanog
Hoxb6 0.36 small profile SeqLogo of Hoxb6
AGUGCUU 0.36 small profile SeqLogo of AGUGCUU
Hoxa4 0.36 small profile SeqLogo of Hoxa4
GGAAGAC 0.35 small profile SeqLogo of GGAAGAC
Thrb 0.35 small profile SeqLogo of Thrb
Tcf7l1 0.35 small profile SeqLogo of Tcf7l1
AAUGCCC 0.35 small profile SeqLogo of AAUGCCC
Zbtb7c 0.35 small profile SeqLogo of Zbtb7c
Nkx3-2 0.35 small profile SeqLogo of Nkx3-2
UGCAUUG 0.35 small profile SeqLogo of UGCAUUG
AGCCCUU 0.35 small profile SeqLogo of AGCCCUU
Twist1 0.35 small profile SeqLogo of Twist1
ACUGGCC 0.35 small profile SeqLogo of ACUGGCC
CCACAGG 0.34 small profile SeqLogo of CCACAGG
GAUCAGA 0.34 small profile SeqLogo of GAUCAGA
Pbx1_Pbx3 0.34 small profile SeqLogo of Pbx1_Pbx3
Arnt2 0.34 small profile SeqLogo of Arnt2
AACAGUC 0.34 small profile SeqLogo of AACAGUC
Hoxd8 0.33 small profile SeqLogo of Hoxd8
Hoxa6 0.33 small profile SeqLogo of Hoxa6
Zfp691 0.33 small profile SeqLogo of Zfp691
CCUUCAU 0.33 small profile SeqLogo of CCUUCAU
Grhl1 0.33 small profile SeqLogo of Grhl1
Zfp105 0.32 small profile SeqLogo of Zfp105
Clock 0.32 small profile SeqLogo of Clock
Nr2c1 0.32 small profile SeqLogo of Nr2c1
Nkx2-6 0.32 small profile SeqLogo of Nkx2-6
UCACAUU 0.31 small profile SeqLogo of UCACAUU
Zic3 0.31 small profile SeqLogo of Zic3
Rxra 0.31 small profile SeqLogo of Rxra
Pbx2 0.31 small profile SeqLogo of Pbx2
Rreb1 0.31 small profile SeqLogo of Rreb1
UUGGUCC 0.31 small profile SeqLogo of UUGGUCC
AGCUUAU 0.30 small profile SeqLogo of AGCUUAU
Sox7 0.29 small profile SeqLogo of Sox7
Prdm14 0.29 small profile SeqLogo of Prdm14
Bbx 0.29 small profile SeqLogo of Bbx
UGAAAUG 0.29 small profile SeqLogo of UGAAAUG
Pparg_Rxrg 0.28 small profile SeqLogo of Pparg_Rxrg
Gmeb1 0.28 small profile SeqLogo of Gmeb1
Rarb 0.28 small profile SeqLogo of Rarb
Hoxb4 0.28 small profile SeqLogo of Hoxb4
Pknox2_Pknox1 0.28 small profile SeqLogo of Pknox2_Pknox1
Hoxd10 0.27 small profile SeqLogo of Hoxd10
UUGGCAC 0.27 small profile SeqLogo of UUGGCAC
Msx1_Lhx9_Barx1_Rax_Dlx6 0.27 small profile SeqLogo of Msx1_Lhx9_Barx1_Rax_Dlx6
Nr2f6 0.27 small profile SeqLogo of Nr2f6
Pou4f3 0.26 small profile SeqLogo of Pou4f3
Hoxc9 0.26 small profile SeqLogo of Hoxc9
Cenpb 0.26 small profile SeqLogo of Cenpb
Cbfb 0.25 small profile SeqLogo of Cbfb
Relb 0.25 small profile SeqLogo of Relb
Foxo6 0.24 small profile SeqLogo of Foxo6
Lhx3 0.24 small profile SeqLogo of Lhx3
CAGUAAC 0.24 small profile SeqLogo of CAGUAAC
Klf7 0.24 small profile SeqLogo of Klf7
Tbx2 0.24 small profile SeqLogo of Tbx2
GAAAUGU 0.24 small profile SeqLogo of GAAAUGU
Nfe2l1_Mafg 0.23 small profile SeqLogo of Nfe2l1_Mafg
Sox11 0.23 small profile SeqLogo of Sox11
Six4 0.22 small profile SeqLogo of Six4
UAUUGCU 0.22 small profile SeqLogo of UAUUGCU
Hoxa9_Hoxb9 0.22 small profile SeqLogo of Hoxa9_Hoxb9
GGCAAGA 0.22 small profile SeqLogo of GGCAAGA
Hoxa3 0.22 small profile SeqLogo of Hoxa3
Ovol1 0.22 small profile SeqLogo of Ovol1
UACAGUA 0.22 small profile SeqLogo of UACAGUA
Nkx2-2 0.22 small profile SeqLogo of Nkx2-2
AGUGGUU 0.21 small profile SeqLogo of AGUGGUU
CCAGCAU 0.21 small profile SeqLogo of CCAGCAU
Hoxb13 0.21 small profile SeqLogo of Hoxb13
Foxd1 0.20 small profile SeqLogo of Foxd1
UGUGCGU 0.20 small profile SeqLogo of UGUGCGU
Glis1 0.20 small profile SeqLogo of Glis1
GGCAGUG 0.19 small profile SeqLogo of GGCAGUG
Sp2 0.18 small profile SeqLogo of Sp2
Nr2e1 0.18 small profile SeqLogo of Nr2e1
Six3_Six1_Six2 0.18 small profile SeqLogo of Six3_Six1_Six2
GUAACAG 0.18 small profile SeqLogo of GUAACAG
Gzf1 0.18 small profile SeqLogo of Gzf1
UAAGACU 0.17 small profile SeqLogo of UAAGACU
Zbtb49 0.16 small profile SeqLogo of Zbtb49
Gsx2_Hoxd3_Vax1 0.16 small profile SeqLogo of Gsx2_Hoxd3_Vax1
Sox13 0.15 small profile SeqLogo of Sox13
Tbx21 0.14 small profile SeqLogo of Tbx21
Crx_Gsc 0.14 small profile SeqLogo of Crx_Gsc
Foxk1_Foxj1 0.13 small profile SeqLogo of Foxk1_Foxj1
Nr1h2 0.12 small profile SeqLogo of Nr1h2
CCUUGGC 0.12 small profile SeqLogo of CCUUGGC
ACUGCAU 0.12 small profile SeqLogo of ACUGCAU
Hoxc4_Arx_Otp_Esx1_Phox2b 0.12 small profile SeqLogo of Hoxc4_Arx_Otp_Esx1_Phox2b
Zfp423 0.11 small profile SeqLogo of Zfp423
UGACCUA 0.11 small profile SeqLogo of UGACCUA
GGAGUGU 0.11 small profile SeqLogo of GGAGUGU
Gcm1 0.10 small profile SeqLogo of Gcm1
Ehf 0.10 small profile SeqLogo of Ehf
Stat4_Stat3_Stat5b 0.10 small profile SeqLogo of Stat4_Stat3_Stat5b
Nr1h4 0.10 small profile SeqLogo of Nr1h4
Tbx20 0.09 small profile SeqLogo of Tbx20
Barhl1 0.09 small profile SeqLogo of Barhl1
AACGGAA 0.09 small profile SeqLogo of AACGGAA
GAUAUGU 0.09 small profile SeqLogo of GAUAUGU
Hlx 0.09 small profile SeqLogo of Hlx
CGUGUCU 0.07 small profile SeqLogo of CGUGUCU
Nfat5 0.07 small profile SeqLogo of Nfat5
GAGAACU 0.07 small profile SeqLogo of GAGAACU
Gli2 0.07 small profile SeqLogo of Gli2
AGAUCAG 0.06 small profile SeqLogo of AGAUCAG
AACCUGG 0.06 small profile SeqLogo of AACCUGG
Pax7 0.05 small profile SeqLogo of Pax7
UGUGCGG 0.05 small profile SeqLogo of UGUGCGG
UAAGACG 0.05 small profile SeqLogo of UAAGACG
AUGACAC 0.05 small profile SeqLogo of AUGACAC
Mecom 0.04 small profile SeqLogo of Mecom
AACCGUU 0.04 small profile SeqLogo of AACCGUU
Osr2_Osr1 0.03 small profile SeqLogo of Osr2_Osr1
AAUCUCA 0.02 small profile SeqLogo of AAUCUCA
AAUCUCU 0.02 small profile SeqLogo of AAUCUCU
CUCCCAA 0.01 small profile SeqLogo of CUCCCAA
GGACGGA 0.00 small profile SeqLogo of GGACGGA

All samples sorted alphabetically

Sample name Condition Replicate/Batch
WT
36N_N
KO